ece4-tuning - EC-EARTH4 - a100 - r1 - a100
Last updated: Sun Apr 6 23:40:42 UTC 2025
ECE 4.1 base April 2025
Gregory Plot

Description: Gregory plot EC-EARTH4 a100 with reference data ERA5 for 2m temperature from 1980-01-01 to 2010-12-31 and CERES for net radiation at TOA from 2001-01-01 to 2020-12-31. with ERA5 and CERES as reference.
Timestamp: 2025-04-06 12:37:25
Time series

Description: Time series of the global mean of 2 metre temperature from 1990-01-16 to 2001-12-16 for EC-EARTH4 a100 with ERA5 as reference, std evaluated from 1990-01-01 to 2020-12-31. The reference range has been extended with a seasonal cycle or a band to match the model data.
Timestamp: 2025-04-06 12:33:23

Description: Time series of the global mean of Precipitation from 1990-01-16 to 2001-12-16 for EC-EARTH4 a100 with ERA5 as reference, std evaluated from 1990-01-01 to 2020-12-31. The reference range has been extended with a seasonal cycle or a band to match the model data.
Timestamp: 2025-04-06 12:47:07

Description: Time series of the global mean of High cloud cover from 1990-01-16 to 2001-12-16 for EC-EARTH4 a100 with ERA5 as reference, std evaluated from 1990-01-01 to 2020-12-31. The reference range has been extended with a seasonal cycle or a band to match the model data.
Timestamp: 2025-04-06 12:39:50

Description: Time series of the global mean of Instantaneous moisture flux from 1990-01-16 to 2001-12-16 for EC-EARTH4 a100 with ERA5 as reference, std evaluated from 1990-01-01 to 2020-12-31. The reference range has been extended with a seasonal cycle or a band to match the model data.
Timestamp: 2025-04-06 12:34:38

Description: Time series of the global mean of Instantaneous surface sensible heat net flux from 1990-01-16 to 2001-12-16 for EC-EARTH4 a100 with ERA5 as reference, std evaluated from 1990-01-01 to 2020-12-31. The reference range has been extended with a seasonal cycle or a band to match the model data.
Timestamp: 2025-04-06 12:41:46

Description: Time series of the global mean of Low cloud cover from 1990-01-16 to 2001-12-16 for EC-EARTH4 a100 with ERA5 as reference, std evaluated from 1990-01-01 to 2020-12-31. The reference range has been extended with a seasonal cycle or a band to match the model data.
Timestamp: 2025-04-06 12:37:49

Description: Time series of the global mean of Medium cloud cover from 1990-01-16 to 2001-12-16 for EC-EARTH4 a100 with ERA5 as reference, std evaluated from 1990-01-01 to 2020-12-31. The reference range has been extended with a seasonal cycle or a band to match the model data.
Timestamp: 2025-04-06 12:38:57

Description: Time series of the global mean of Mean sea level pressure from 1990-01-16 to 2001-12-16 for EC-EARTH4 a100 with ERA5 as reference, std evaluated from 1990-01-01 to 2020-12-31. The reference range has been extended with a seasonal cycle or a band to match the model data.
Timestamp: 2025-04-06 12:35:35

Description: Time series of the global mean of Surface latent heat net flux from 1990-01-16 to 2001-12-16 for EC-EARTH4 a100 with ERA5 as reference, std evaluated from 1990-01-01 to 2020-12-31. The reference range has been extended with a seasonal cycle or a band to match the model data.
Timestamp: 2025-04-06 12:40:51

Description: Time series of the global mean of Surface net long-wave radiation flux from 1990-01-16 to 2001-12-16 for EC-EARTH4 a100 with ERA5 as reference, std evaluated from 1990-01-01 to 2020-12-31. The reference range has been extended with a seasonal cycle or a band to match the model data.
Timestamp: 2025-04-06 12:44:06

Description: Time series of the global mean of Surface net short-wave radiation flux from 1990-01-16 to 2001-12-16 for EC-EARTH4 a100 with ERA5 as reference, std evaluated from 1990-01-01 to 2020-12-31. The reference range has been extended with a seasonal cycle or a band to match the model data.
Timestamp: 2025-04-06 12:43:22

Description: Time series of the global mean of Total Cloud Cover from 1990-01-16 to 2001-12-16 for EC-EARTH4 a100 with ERA5 as reference, std evaluated from 1990-01-01 to 2020-12-31. The reference range has been extended with a seasonal cycle or a band to match the model data.
Timestamp: 2025-04-06 12:36:45

Description: Time series of the global mean of Net top radiation from 1990-01-16 to 2001-12-16 for EC-EARTH4 a100 with CERES as reference, std evaluated from 2000-01-01 to 2020-12-31. The reference range has been extended with a seasonal cycle or a band to match the model data.
Timestamp: 2025-04-06 12:35:44

Description: Time series of the global mean of Top net long-wave radiation flux from 1990-01-16 to 2001-12-16 for EC-EARTH4 a100 with CERES as reference, std evaluated from 2000-01-01 to 2020-12-31. The reference range has been extended with a seasonal cycle or a band to match the model data.
Timestamp: 2025-04-06 12:33:22

Description: Time series of the global mean of Top net short-wave radiation flux from 1990-01-16 to 2001-12-16 for EC-EARTH4 a100 with CERES as reference, std evaluated from 2000-01-01 to 2020-12-31. The reference range has been extended with a seasonal cycle or a band to match the model data.
Timestamp: 2025-04-06 12:34:34
Seasonal cycle

Description: Seasonal cycle of the global mean of 2t for EC-EARTH4 a100 from 1990-01-16 to 2001-12-16 with ERA5 as reference, std evaluated from 1990-01-01 to 2020-12-31.
Timestamp: 2025-04-06 12:33:07

Description: Seasonal cycle of the global mean of hcc for EC-EARTH4 a100 from 1990-01-16 to 2001-12-16 with ERA5 as reference, std evaluated from 1990-01-01 to 2020-12-31.
Timestamp: 2025-04-06 12:38:23

Description: Seasonal cycle of the global mean of ie for EC-EARTH4 a100 from 1990-01-16 to 2001-12-16 with ERA5 as reference, std evaluated from 1990-01-01 to 2020-12-31.
Timestamp: 2025-04-06 12:34:48

Description: Seasonal cycle of the global mean of ishf for EC-EARTH4 a100 from 1990-01-16 to 2001-12-16 with ERA5 as reference, std evaluated from 1990-01-01 to 2020-12-31.
Timestamp: 2025-04-06 12:39:48

Description: Seasonal cycle of the global mean of lcc for EC-EARTH4 a100 from 1990-01-16 to 2001-12-16 with ERA5 as reference, std evaluated from 1990-01-01 to 2020-12-31.
Timestamp: 2025-04-06 12:37:00

Description: Seasonal cycle of the global mean of mcc for EC-EARTH4 a100 from 1990-01-16 to 2001-12-16 with ERA5 as reference, std evaluated from 1990-01-01 to 2020-12-31.
Timestamp: 2025-04-06 12:37:42

Description: Seasonal cycle of the global mean of msl for EC-EARTH4 a100 from 1990-01-16 to 2001-12-16 with ERA5 as reference, std evaluated from 1990-01-01 to 2020-12-31.
Timestamp: 2025-04-06 12:35:26

Description: Seasonal cycle of the global mean of slhtf for EC-EARTH4 a100 from 1990-01-16 to 2001-12-16 with ERA5 as reference, std evaluated from 1990-01-01 to 2020-12-31.
Timestamp: 2025-04-06 12:39:13

Description: Seasonal cycle of the global mean of snlwrf for EC-EARTH4 a100 from 1990-01-16 to 2001-12-16 with ERA5 as reference, std evaluated from 1990-01-01 to 2020-12-31.
Timestamp: 2025-04-06 12:41:36

Description: Seasonal cycle of the global mean of snswrf for EC-EARTH4 a100 from 1990-01-16 to 2001-12-16 with ERA5 as reference, std evaluated from 1990-01-01 to 2020-12-31.
Timestamp: 2025-04-06 12:41:04

Description: Seasonal cycle of the global mean of tcc for EC-EARTH4 a100 from 1990-01-16 to 2001-12-16 with ERA5 as reference, std evaluated from 1990-01-01 to 2020-12-31.
Timestamp: 2025-04-06 12:36:11

Description: Seasonal cycle of the global mean of tnlwrf for EC-EARTH4 a100 from 1990-01-16 to 2001-12-16 with ERA5 as reference, std evaluated from 1990-01-01 to 2020-12-31.
Timestamp: 2025-04-06 12:42:07

Description: Seasonal cycle of the global mean of tnswrf for EC-EARTH4 a100 from 1990-01-16 to 2001-12-16 with ERA5 as reference, std evaluated from 1990-01-01 to 2020-12-31.
Timestamp: 2025-04-06 12:42:48

Description: Seasonal cycle of the global mean of tprate for EC-EARTH4 a100 from 1990-01-16 to 2001-12-16 with ERA5 as reference, std evaluated from 1990-01-01 to 2020-12-31.
Timestamp: 2025-04-06 12:34:01
Performance indices


Radiation

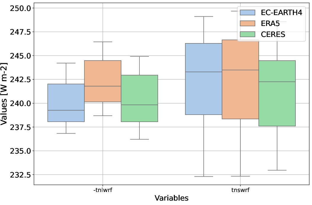
Description: Boxplot of radiation variables (-tnlwrf, tnswrf). The analysis includes the EC-EARTH4 model (experiment a100 from 1990-01-16 to 2001-12-16) from hpc2020, ERA5 (experiment era5 from 1990-01-01 to 2020-12-31) from obs, compared with CERES (experiment ebaf-toa41 from 2000-01-01 to 2020-12-31) from obs.This boxplot compares radiation fluxes across different models, highlighting variability and potential biases.
Timestamp: 2025-04-06 12:35:06
Bias maps
horizontal

Description: Spatial map of the total bias of the variable tnlwrf from 1990-01-16 to 2001-12-16 for the EC-EARTH4 model, experiment a100 from the hpc2020 catalog, with CERES (eperiment ebaf-toa41, catalog obs) used as reference data.
Timestamp: 2025-04-06 12:33:04

Description: Seasonal bias map of the variable 2t for the EC-EARTH4 model, experiment a100 from the hpc2020 catalog, using ERA5 (experiment era5, catalog obs) as reference data. The bias is computed for each season over the period from 1990-01-16 to 2001-12-16, providing insights into seasonal discrepancies between the model and the reference.
Timestamp: 2025-04-06 23:12:39

Description: Spatial map of the total bias of the variable tnlwrf from 1990-01-16 to 2001-12-16 for the EC-EARTH4 model, experiment a100 from the hpc2020 catalog, with ERA5 (eperiment era5, catalog obs) used as reference data.
Timestamp: 2025-04-06 23:33:54

Description: Seasonal bias map of the variable hcc for the EC-EARTH4 model, experiment a100 from the hpc2020 catalog, using ERA5 (experiment era5, catalog obs) as reference data. The bias is computed for each season over the period from 1990-01-16 to 2001-12-16, providing insights into seasonal discrepancies between the model and the reference.
Timestamp: 2025-04-06 23:33:42

Description: Spatial map of the total bias of the variable tnr from 1990-01-16 to 2001-12-16 for the EC-EARTH4 model, experiment a100 from the hpc2020 catalog, with CERES (eperiment ebaf-toa41, catalog obs) used as reference data.
Timestamp: 2025-04-06 12:34:09

Description: Seasonal bias map of the variable lcc for the EC-EARTH4 model, experiment a100 from the hpc2020 catalog, using ERA5 (experiment era5, catalog obs) as reference data. The bias is computed for each season over the period from 1990-01-16 to 2001-12-16, providing insights into seasonal discrepancies between the model and the reference.
Timestamp: 2025-04-06 23:32:37

Description: Spatial map of the total bias of the variable tnswrf from 1990-01-16 to 2001-12-16 for the EC-EARTH4 model, experiment a100 from the hpc2020 catalog, with CERES (eperiment ebaf-toa41, catalog obs) used as reference data.
Timestamp: 2025-04-06 12:33:36

Description: Seasonal bias map of the variable mcc for the EC-EARTH4 model, experiment a100 from the hpc2020 catalog, using ERA5 (experiment era5, catalog obs) as reference data. The bias is computed for each season over the period from 1990-01-16 to 2001-12-16, providing insights into seasonal discrepancies between the model and the reference.
Timestamp: 2025-04-06 23:33:15

Description: Spatial map of the total bias of the variable tprate from 1990-01-16 to 2001-12-16 for the EC-EARTH4 model, experiment a100 from the hpc2020 catalog, with ERA5 (eperiment era5, catalog obs) used as reference data.
Timestamp: 2025-04-06 23:29:36

Description: Seasonal bias map of the variable msl for the EC-EARTH4 model, experiment a100 from the hpc2020 catalog, using ERA5 (experiment era5, catalog obs) as reference data. The bias is computed for each season over the period from 1990-01-16 to 2001-12-16, providing insights into seasonal discrepancies between the model and the reference.
Timestamp: 2025-04-06 23:31:14

Description: Spatial map of the total bias of the variable hcc from 1990-01-16 to 2001-12-16 for the EC-EARTH4 model, experiment a100 from the hpc2020 catalog, with ERA5 (eperiment era5, catalog obs) used as reference data.
Timestamp: 2025-04-06 23:33:25

Description: Seasonal bias map of the variable q for the EC-EARTH4 model, experiment a100 from the hpc2020 catalog, using ERA5 (experiment era5, catalog obs) as reference data. The bias is computed for each season over the period from 1990-01-16 to 2001-12-16, providing insights into seasonal discrepancies between the model and the reference.
Timestamp: 2025-04-06 23:40:16

Description: Spatial map of the total bias of the variable lcc from 1990-01-16 to 2001-12-16 for the EC-EARTH4 model, experiment a100 from the hpc2020 catalog, with ERA5 (eperiment era5, catalog obs) used as reference data.
Timestamp: 2025-04-06 23:31:39

Description: Seasonal bias map of the variable q for the EC-EARTH4 model, experiment a100 from the hpc2020 catalog, using ERA5 (experiment era5, catalog obs) as reference data. The bias is computed for each season over the period from 1990-01-16 to 2001-12-16, providing insights into seasonal discrepancies between the model and the reference.
Timestamp: 2025-04-06 23:39:56

Description: Spatial map of the total bias of the variable mcc from 1990-01-16 to 2001-12-16 for the EC-EARTH4 model, experiment a100 from the hpc2020 catalog, with ERA5 (eperiment era5, catalog obs) used as reference data.
Timestamp: 2025-04-06 23:32:49

Description: Seasonal bias map of the variable t for the EC-EARTH4 model, experiment a100 from the hpc2020 catalog, using ERA5 (experiment era5, catalog obs) as reference data. The bias is computed for each season over the period from 1990-01-16 to 2001-12-16, providing insights into seasonal discrepancies between the model and the reference.
Timestamp: 2025-04-06 23:35:08

Description: Spatial map of the total bias of the variable msl from 1990-01-16 to 2001-12-16 for the EC-EARTH4 model, experiment a100 from the hpc2020 catalog, with ERA5 (eperiment era5, catalog obs) used as reference data.
Timestamp: 2025-04-06 23:30:53

Description: Seasonal bias map of the variable t for the EC-EARTH4 model, experiment a100 from the hpc2020 catalog, using ERA5 (experiment era5, catalog obs) as reference data. The bias is computed for each season over the period from 1990-01-16 to 2001-12-16, providing insights into seasonal discrepancies between the model and the reference.
Timestamp: 2025-04-06 23:34:50

Description: Spatial map of the total bias of the variable v from 1990-01-16 to 2001-12-16 for the EC-EARTH4 model, experiment a100 from the hpc2020 catalog, with ERA5 (eperiment era5, catalog obs) used as reference data.
Timestamp: 2025-04-06 23:38:42

Description: Seasonal bias map of the variable tnlwrf for the EC-EARTH4 model, experiment a100 from the hpc2020 catalog, using ERA5 (experiment era5, catalog obs) as reference data. The bias is computed for each season over the period from 1990-01-16 to 2001-12-16, providing insights into seasonal discrepancies between the model and the reference.
Timestamp: 2025-04-06 23:34:17

Description: Spatial map of the total bias of the variable v from 1990-01-16 to 2001-12-16 for the EC-EARTH4 model, experiment a100 from the hpc2020 catalog, with ERA5 (eperiment era5, catalog obs) used as reference data.
Timestamp: 2025-04-06 23:37:31

Description: Seasonal bias map of the variable tprate for the EC-EARTH4 model, experiment a100 from the hpc2020 catalog, using ERA5 (experiment era5, catalog obs) as reference data. The bias is computed for each season over the period from 1990-01-16 to 2001-12-16, providing insights into seasonal discrepancies between the model and the reference.
Timestamp: 2025-04-06 23:30:25

Description: Spatial map of the total bias of the variable q from 1990-01-16 to 2001-12-16 for the EC-EARTH4 model, experiment a100 from the hpc2020 catalog, with ERA5 (eperiment era5, catalog obs) used as reference data.
Timestamp: 2025-04-06 23:40:06

Description: Seasonal bias map of the variable u for the EC-EARTH4 model, experiment a100 from the hpc2020 catalog, using ERA5 (experiment era5, catalog obs) as reference data. The bias is computed for each season over the period from 1990-01-16 to 2001-12-16, providing insights into seasonal discrepancies between the model and the reference.
Timestamp: 2025-04-06 23:36:50

Description: Spatial map of the total bias of the variable q from 1990-01-16 to 2001-12-16 for the EC-EARTH4 model, experiment a100 from the hpc2020 catalog, with ERA5 (eperiment era5, catalog obs) used as reference data.
Timestamp: 2025-04-06 23:39:40

Description: Seasonal bias map of the variable u for the EC-EARTH4 model, experiment a100 from the hpc2020 catalog, using ERA5 (experiment era5, catalog obs) as reference data. The bias is computed for each season over the period from 1990-01-16 to 2001-12-16, providing insights into seasonal discrepancies between the model and the reference.
Timestamp: 2025-04-06 23:36:25

Description: Spatial map of the total bias of the variable t from 1990-01-16 to 2001-12-16 for the EC-EARTH4 model, experiment a100 from the hpc2020 catalog, with ERA5 (eperiment era5, catalog obs) used as reference data.
Timestamp: 2025-04-06 23:34:59

Description: Seasonal bias map of the variable v for the EC-EARTH4 model, experiment a100 from the hpc2020 catalog, using ERA5 (experiment era5, catalog obs) as reference data. The bias is computed for each season over the period from 1990-01-16 to 2001-12-16, providing insights into seasonal discrepancies between the model and the reference.
Timestamp: 2025-04-06 23:38:55

Description: Spatial map of the total bias of the variable t from 1990-01-16 to 2001-12-16 for the EC-EARTH4 model, experiment a100 from the hpc2020 catalog, with ERA5 (eperiment era5, catalog obs) used as reference data.
Timestamp: 2025-04-06 23:34:30

Description: Seasonal bias map of the variable v for the EC-EARTH4 model, experiment a100 from the hpc2020 catalog, using ERA5 (experiment era5, catalog obs) as reference data. The bias is computed for each season over the period from 1990-01-16 to 2001-12-16, providing insights into seasonal discrepancies between the model and the reference.
Timestamp: 2025-04-06 23:38:31

Description: Spatial map of the total bias of the variable 2t from 1990-01-16 to 2001-12-16 for the EC-EARTH4 model, experiment a100 from the hpc2020 catalog, with ERA5 (eperiment era5, catalog obs) used as reference data.
Timestamp: 2025-04-06 23:11:45

Description: Spatial map of the total bias of the variable u from 1990-01-16 to 2001-12-16 for the EC-EARTH4 model, experiment a100 from the hpc2020 catalog, with ERA5 (eperiment era5, catalog obs) used as reference data.
Timestamp: 2025-04-06 23:35:42

Description: Spatial map of the total bias of the variable u from 1990-01-16 to 2001-12-16 for the EC-EARTH4 model, experiment a100 from the hpc2020 catalog, with ERA5 (eperiment era5, catalog obs) used as reference data.
Timestamp: 2025-04-06 23:36:36
vertical

Description: Vertical bias plot of the variable q across pressure levels, from 1990-01-16 to 2001-12-16 for the EC-EARTH4 model, experiment a100 from the hpc2020 catalog, with ERA5 (experiment era5, catalog obs) used as reference data.
Timestamp: 2025-04-06 23:40:30

Description: Vertical bias plot of the variable t across pressure levels, from 1990-01-16 to 2001-12-16 for the EC-EARTH4 model, experiment a100 from the hpc2020 catalog, with ERA5 (experiment era5, catalog obs) used as reference data.
Timestamp: 2025-04-06 23:35:22

Description: Vertical bias plot of the variable u across pressure levels, from 1990-01-16 to 2001-12-16 for the EC-EARTH4 model, experiment a100 from the hpc2020 catalog, with ERA5 (experiment era5, catalog obs) used as reference data.
Timestamp: 2025-04-06 23:37:05
Teleconnections

Description: NAO EC-EARTH4 a100 correlation map (msl) for DJF compared to ERA5. The contour lines are the model correlation map and the filled contour map is the difference between the model and the reference correlation map.
Timestamp: 2025-04-06 12:33:21

Description: NAO EC-EARTH4 a100 correlation map (msl) for JJA compared to ERA5. The contour lines are the model correlation map and the filled contour map is the difference between the model and the reference correlation map.
Timestamp: 2025-04-06 12:33:37

Description: NAO index plot for EC-EARTH4 a100 and ERA5
Timestamp: 2025-04-06 12:33:09

Description: NAO EC-EARTH4 a100 regression map (msl) for DJF compared to ERA5. The contour lines are the model regression map and the filled contour map is the difference between the model and the reference regression map.
Timestamp: 2025-04-06 12:33:48

Description: NAO EC-EARTH4 a100 regression map (msl) for JJA compared to ERA5. The contour lines are the model regression map and the filled contour map is the difference between the model and the reference regression map.
Timestamp: 2025-04-06 12:34:04