ece4-tuning - EC-EARTH4 - JK01 - r1 - JK01
Last updated: Mon Jan 19 15:38:23 UTC 2026
ECE 4.1.5 tuning v0.3 PI
Climate metrics
Gregory plot

Description: Gregory plot of EC-EARTH4 JK01 using as a reference BERKELEY-EARTH aqua-filled (2 m temperature) and CERES ebaf-toa421 (net TOA). The model data are from 2400-01-01 to 2450-01-01. The reference 2 m temperature data are from 2001-01-01 to 2024-12-01. The reference net TOA data are from 2001-01-01 to 2024-12-01.
Timestamp: 2026-01-19 15:34:51
performance indices

Description: Performance Indices normalized to the CMIP6 average for different regions and seasons for EC-EARTH4 JK01 from 2400-01-01 to 2450-12-31. Processed regions are Global (90°S-90°N), North Midlat (30°N-90°N), Tropical (30°S-30°N) and South Midlat (90°S-30°S).. Numbers < 1 imply better results than CMIP6 mean.
Timestamp: 2026-01-19 00:07:45
global biases

Description: Global mean biases normalized to observed interannual variability with respect to references for different regions and seasons for EC-EARTH4 JK01 from 2400-01-01 to 2450-12-31. Processed regions are Global (90°S-90°N), North Midlat (30°N-90°N), Tropical (30°S-30°N) and South Midlat (90°S-30°S).
Timestamp: 2026-01-19 00:00:25
Radiation
boxplot

Description: Boxplot for: EC-EARTH4 (exp: JK01) from 2400-01-16 to 2450-12-16, ERA5 (exp: era5) from 2001-01-01 to 2024-12-31, CERES (exp: ebaf-toa421) from 2001-01-01 to 2024-12-31. Anomalies with respect to ERA5 mean value are shown. The dashed line represents the mean value, the solid line the median value, and the number indicates the absolute mean value.
Timestamp: 2026-01-19 00:53:11

Description: Boxplot for: EC-EARTH4 (exp: JK01) from 2400-01-16 to 2450-12-16, ERA5 (exp: era5) from 2001-01-01 to 2024-12-31, CERES (exp: ebaf-sfc421) from 2001-01-01 to 2024-12-31. Anomalies with respect to ERA5 mean value are shown. The dashed line represents the mean value, the solid line the median value, and the number indicates the absolute mean value.
Timestamp: 2026-01-19 00:43:36
timeseries

Description: Time series of Surface latent heat net flux [W m**-2] (slhtf) for ece4-tuning EC-EARTH4 JK01 with reference ERA5 with standard deviation from 2001-01-01 to 2024-12-31. The shaded area represents 2 standard deviations.
Timestamp: 2026-01-19 00:51:46

Description: Time series of Top net short-wave radiation flux [W m**-2] (tnswrf) for ece4-tuning EC-EARTH4 JK01 with reference CERES ebaf-toa421 with standard deviation from 2001-01-01 to 2024-12-31. The shaded area represents 2 standard deviations.
Timestamp: 2026-01-19 00:57:56

Description: Time series of Surface net short-wave radiation flux [W m**-2] (snswrf) for ece4-tuning EC-EARTH4 JK01 with reference CERES ebaf-sfc421 with standard deviation from 2001-01-01 to 2024-12-31. The shaded area represents 2 standard deviations.
Timestamp: 2026-01-19 00:48:52

Description: Time series of Top net long-wave radiation flux [W m**-2] (tnlwrf) for ece4-tuning EC-EARTH4 JK01 with reference CERES ebaf-toa421 with standard deviation from 2001-01-01 to 2024-12-31. The shaded area represents 2 standard deviations.
Timestamp: 2026-01-19 00:55:50

Description: Time series of Top net radiation [W m**-2] (tnlwrf+tnswrf) for ece4-tuning EC-EARTH4 JK01 with reference CERES ebaf-toa421 with standard deviation from 2001-01-01 to 2024-12-31. The shaded area represents 2 standard deviations.
Timestamp: 2026-01-19 01:00:48

Description: Time series of Surface net long-wave radiation flux [W m**-2] (snlwrf) for ece4-tuning EC-EARTH4 JK01 with reference CERES ebaf-sfc421 with standard deviation from 2001-01-01 to 2024-12-31. The shaded area represents 2 standard deviations.
Timestamp: 2026-01-19 00:46:18

Description: Time series of Instantaneous surface sensible heat net flux [W m**-2] (ishf) for ece4-tuning EC-EARTH4 JK01 with reference ERA5 with standard deviation from 2001-01-01 to 2024-12-31. The shaded area represents 2 standard deviations.
Timestamp: 2026-01-19 00:54:02
annual bias

Description: Spatial map of global bias of Top net radiation from 2400-01-16 to 2450-12-16 for the EC-EARTH4 model, experiment JK01, with CERES from 2001-01-01 to 2024-12-31 used as reference data.
Timestamp: 2026-01-19 00:36:22

Description: Spatial map of global bias of Instantaneous surface sensible heat net flux from 2400-01-16 to 2450-12-16 for the EC-EARTH4 model, experiment JK01, with ERA5 from 2001-01-01 to 2024-12-31 used as reference data.
Timestamp: 2026-01-19 00:38:29

Description: Spatial map of global bias of Surface net short-wave radiation flux from 2400-01-16 to 2450-12-16 for the EC-EARTH4 model, experiment JK01, with CERES from 2001-01-01 to 2024-12-31 used as reference data.
Timestamp: 2026-01-19 00:31:37

Description: Spatial map of global bias of Surface net long-wave radiation flux from 2400-01-16 to 2450-12-16 for the EC-EARTH4 model, experiment JK01, with CERES from 2001-01-01 to 2024-12-31 used as reference data.
Timestamp: 2026-01-19 00:28:15

Description: Spatial map of global bias of Long wave cloud radiative effect at TOA (All Sky - Clear Sky) from 2400-01-16 to 2450-12-16 for the EC-EARTH4 model, experiment JK01, with CERES from 2001-01-01 to 2024-12-31 used as reference data.
Timestamp: 2026-01-19 00:40:49

Description: Spatial map of global bias of Short wave cloud radiative effect at TOA (All Sky - Clear Sky) from 2400-01-16 to 2450-12-16 for the EC-EARTH4 model, experiment JK01, with CERES from 2001-01-01 to 2024-12-31 used as reference data.
Timestamp: 2026-01-19 00:44:58

Description: Spatial map of global bias of Surface latent heat net flux from 2400-01-16 to 2450-12-16 for the EC-EARTH4 model, experiment JK01, with ERA5 from 2001-01-01 to 2024-12-31 used as reference data.
Timestamp: 2026-01-19 00:34:30

Description: Spatial map of global bias of Top net long-wave radiation flux from 2400-01-16 to 2450-12-16 for the EC-EARTH4 model, experiment JK01, with CERES from 2001-01-01 to 2024-12-31 used as reference data.
Timestamp: 2026-01-19 00:28:30

Description: Spatial map of global bias of Top net short-wave radiation flux from 2400-01-16 to 2450-12-16 for the EC-EARTH4 model, experiment JK01, with CERES from 2001-01-01 to 2024-12-31 used as reference data.
Timestamp: 2026-01-19 00:31:47

Description: Spatial map of global bias of Net cloud radiative effect at TOA (All Sky - Clear Sky) from 2400-01-16 to 2450-12-16 for the EC-EARTH4 model, experiment JK01, with CERES from 2001-01-01 to 2024-12-31 used as reference data.
Timestamp: 2026-01-19 00:49:52
seasonal bias

Description: Seasonal bias map of Short wave cloud radiative effect at TOA (All Sky - Clear Sky) for the EC-EARTH4 model, experiment JK01, using CERES as reference data. The bias is computed for each season over the period from 2400-01-16 to 2450-12-16 for the model and from 2001-01-01 to 2024-12-31 for the reference data.
Timestamp: 2026-01-19 00:45:22

Description: Seasonal bias map of Top net radiation for the EC-EARTH4 model, experiment JK01, using CERES as reference data. The bias is computed for each season over the period from 2400-01-16 to 2450-12-16 for the model and from 2001-01-01 to 2024-12-31 for the reference data.
Timestamp: 2026-01-19 00:36:40

Description: Seasonal bias map of Net cloud radiative effect at TOA (All Sky - Clear Sky) for the EC-EARTH4 model, experiment JK01, using CERES as reference data. The bias is computed for each season over the period from 2400-01-16 to 2450-12-16 for the model and from 2001-01-01 to 2024-12-31 for the reference data.
Timestamp: 2026-01-19 00:50:16

Description: Seasonal bias map of Surface net long-wave radiation flux for the EC-EARTH4 model, experiment JK01, using CERES as reference data. The bias is computed for each season over the period from 2400-01-16 to 2450-12-16 for the model and from 2001-01-01 to 2024-12-31 for the reference data.
Timestamp: 2026-01-19 00:28:36

Description: Seasonal bias map of Surface latent heat net flux for the EC-EARTH4 model, experiment JK01, using ERA5 as reference data. The bias is computed for each season over the period from 2400-01-16 to 2450-12-16 for the model and from 2001-01-01 to 2024-12-31 for the reference data.
Timestamp: 2026-01-19 00:35:15

Description: Seasonal bias map of Instantaneous surface sensible heat net flux for the EC-EARTH4 model, experiment JK01, using ERA5 as reference data. The bias is computed for each season over the period from 2400-01-16 to 2450-12-16 for the model and from 2001-01-01 to 2024-12-31 for the reference data.
Timestamp: 2026-01-19 00:39:15

Description: Seasonal bias map of Surface net short-wave radiation flux for the EC-EARTH4 model, experiment JK01, using CERES as reference data. The bias is computed for each season over the period from 2400-01-16 to 2450-12-16 for the model and from 2001-01-01 to 2024-12-31 for the reference data.
Timestamp: 2026-01-19 00:31:55

Description: Seasonal bias map of Top net long-wave radiation flux for the EC-EARTH4 model, experiment JK01, using CERES as reference data. The bias is computed for each season over the period from 2400-01-16 to 2450-12-16 for the model and from 2001-01-01 to 2024-12-31 for the reference data.
Timestamp: 2026-01-19 00:28:39

Description: Seasonal bias map of Long wave cloud radiative effect at TOA (All Sky - Clear Sky) for the EC-EARTH4 model, experiment JK01, using CERES as reference data. The bias is computed for each season over the period from 2400-01-16 to 2450-12-16 for the model and from 2001-01-01 to 2024-12-31 for the reference data.
Timestamp: 2026-01-19 00:41:00

Description: Seasonal bias map of Top net short-wave radiation flux for the EC-EARTH4 model, experiment JK01, using CERES as reference data. The bias is computed for each season over the period from 2400-01-16 to 2450-12-16 for the model and from 2001-01-01 to 2024-12-31 for the reference data.
Timestamp: 2026-01-19 00:32:06
Atmosphere 2D
time series

Description: Time series of Mean sea level pressure [Pa] (msl) for ece4-tuning EC-EARTH4 JK01 with reference ERA5 with standard deviation from 2001-01-01 to 2024-12-31. The shaded area represents 2 standard deviations.
Timestamp: 2026-01-19 00:59:01

Description: Time series of 2 metre temperature [K] (2t) for ece4-tuning EC-EARTH4 JK01 with reference BERKELEY-EARTH aqua-filled with standard deviation from 2001-01-01 to 2024-12-31. The shaded area represents 2 standard deviations.
Timestamp: 2026-01-19 00:37:17

Description: Time series of 2 metre temperature [K] (2t) for region Europe for ece4-tuning EC-EARTH4 JK01 with reference BERKELEY-EARTH aqua-filled with standard deviation from 2001-01-01 to 2024-12-31. The shaded area represents 2 standard deviations.
Timestamp: 2026-01-19 00:46:05

Description: Time series of 2 metre temperature [K] (2t) for region North Midlatitudes for ece4-tuning EC-EARTH4 JK01 with reference BERKELEY-EARTH aqua-filled with standard deviation from 2001-01-01 to 2024-12-31. The shaded area represents 2 standard deviations.
Timestamp: 2026-01-19 00:40:52

Description: Time series of 2 metre temperature [K] (2t) for region South Midlatitudes for ece4-tuning EC-EARTH4 JK01 with reference BERKELEY-EARTH aqua-filled with standard deviation from 2001-01-01 to 2024-12-31. The shaded area represents 2 standard deviations.
Timestamp: 2026-01-19 00:43:35

Description: Time series of Instantaneous moisture flux [kg m-2 s-1] (ie) for ece4-tuning EC-EARTH4 JK01 with reference ERA5 with standard deviation from 2001-01-01 to 2024-12-31. The shaded area represents 2 standard deviations.
Timestamp: 2026-01-19 00:57:22

Description: Time series of Total Cloud Cover [%] (tcc) for ece4-tuning EC-EARTH4 JK01 with reference ERA5 with standard deviation from 2001-01-01 to 2024-12-31. The shaded area represents 2 standard deviations.
Timestamp: 2026-01-19 01:00:46
seasonal cycle

Description: Seasonal cycle of 2 metre temperature [K] (2t) for ece4-tuning EC-EARTH4 JK01 with reference BERKELEY-EARTH aqua-filled with standard deviation from 2001-01-01 to 2024-12-31. The shaded area represents 2 standard deviations.
Timestamp: 2026-01-19 00:48:18

Description: Seasonal cycle of 2 metre temperature [K] (2t) for region North Midlatitudes for ece4-tuning EC-EARTH4 JK01 with reference BERKELEY-EARTH aqua-filled with standard deviation from 2001-01-01 to 2024-12-31. The shaded area represents 2 standard deviations.
Timestamp: 2026-01-19 00:50:35

Description: Seasonal cycle of 2 metre temperature [K] (2t) for region Europe for ece4-tuning EC-EARTH4 JK01 with reference BERKELEY-EARTH aqua-filled with standard deviation from 2001-01-01 to 2024-12-31. The shaded area represents 2 standard deviations.
Timestamp: 2026-01-19 00:54:58

Description: Seasonal cycle of Instantaneous moisture flux [kg m-2 s-1] (ie) for ece4-tuning EC-EARTH4 JK01 with reference ERA5 with standard deviation from 2001-01-01 to 2024-12-31. The shaded area represents 2 standard deviations.
Timestamp: 2026-01-19 01:01:57

Description: Seasonal cycle of Mean sea level pressure [Pa] (msl) for ece4-tuning EC-EARTH4 JK01 with reference ERA5 with standard deviation from 2001-01-01 to 2024-12-31. The shaded area represents 2 standard deviations.
Timestamp: 2026-01-19 01:03:11

Description: Seasonal cycle of 2 metre temperature [K] (2t) for region South Midlatitudes for ece4-tuning EC-EARTH4 JK01 with reference BERKELEY-EARTH aqua-filled with standard deviation from 2001-01-01 to 2024-12-31. The shaded area represents 2 standard deviations.
Timestamp: 2026-01-19 00:52:50

Description: Seasonal cycle of Total Cloud Cover [%] (tcc) for ece4-tuning EC-EARTH4 JK01 with reference ERA5 with standard deviation from 2001-01-01 to 2024-12-31. The shaded area represents 2 standard deviations.
Timestamp: 2026-01-19 01:04:22
annual bias

Description: Spatial map of global bias of Mean sea level pressure from 2400-01-16 to 2450-12-16 for the EC-EARTH4 model, experiment JK01, with ERA5 from 2001-01-01 to 2024-12-31 used as reference data.
Timestamp: 2026-01-19 00:31:12

Description: Spatial map of global bias of 2 metre temperature from 2400-01-16 to 2450-12-16 for the EC-EARTH4 model, experiment JK01, with BERKELEY-EARTH from 2001-01-01 to 2024-12-31 used as reference data.
Timestamp: 2026-01-19 00:28:09
seasonal bias

Description: Seasonal bias map of Mean sea level pressure for the EC-EARTH4 model, experiment JK01, using ERA5 as reference data. The bias is computed for each season over the period from 2400-01-16 to 2450-12-16 for the model and from 2001-01-01 to 2024-12-31 for the reference data.
Timestamp: 2026-01-19 00:31:18

Description: Seasonal bias map of 2 metre temperature for the EC-EARTH4 model, experiment JK01, using BERKELEY-EARTH as reference data. The bias is computed for each season over the period from 2400-01-16 to 2450-12-16 for the model and from 2001-01-01 to 2024-12-31 for the reference data.
Timestamp: 2026-01-19 00:28:23
Atmosphere 3D
vertical bias

Description: Vertical bias plot of Temperature across pressure levels from 2400-01-16 to 2450-12-16 for the EC-EARTH4 model, experiment JK01, with ERA5 from 2001-01-01 to 2024-12-31 used as reference data.
Timestamp: 2026-01-19 00:29:01

Description: Vertical bias plot of V component of wind across pressure levels from 2400-01-16 to 2450-12-16 for the EC-EARTH4 model, experiment JK01, with ERA5 from 2001-01-01 to 2024-12-31 used as reference data.
Timestamp: 2026-01-19 00:36:58

Description: Vertical bias plot of U component of wind across pressure levels from 2400-01-16 to 2450-12-16 for the EC-EARTH4 model, experiment JK01, with ERA5 from 2001-01-01 to 2024-12-31 used as reference data.
Timestamp: 2026-01-19 00:32:58

Description: Vertical bias plot of Specific humidity across pressure levels from 2400-01-16 to 2450-12-16 for the EC-EARTH4 model, experiment JK01, with ERA5 from 2001-01-01 to 2024-12-31 used as reference data.
Timestamp: 2026-01-19 00:40:38
annual bias

Description: Spatial map of global bias of Temperature at 200 hPa from 2400-01-16 to 2450-12-16 for the EC-EARTH4 model, experiment JK01, with ERA5 from 2001-01-01 to 2024-12-31 used as reference data.
Timestamp: 2026-01-19 00:28:57

Description: Spatial map of global bias of Specific humidity at 200 hPa from 2400-01-16 to 2450-12-16 for the EC-EARTH4 model, experiment JK01, with ERA5 from 2001-01-01 to 2024-12-31 used as reference data.
Timestamp: 2026-01-19 00:40:35

Description: Spatial map of global bias of Temperature at 850 hPa from 2400-01-16 to 2450-12-16 for the EC-EARTH4 model, experiment JK01, with ERA5 from 2001-01-01 to 2024-12-31 used as reference data.
Timestamp: 2026-01-19 00:28:49

Description: Spatial map of global bias of U component of wind at 850 hPa from 2400-01-16 to 2450-12-16 for the EC-EARTH4 model, experiment JK01, with ERA5 from 2001-01-01 to 2024-12-31 used as reference data.
Timestamp: 2026-01-19 00:32:42

Description: Spatial map of global bias of V component of wind at 200 hPa from 2400-01-16 to 2450-12-16 for the EC-EARTH4 model, experiment JK01, with ERA5 from 2001-01-01 to 2024-12-31 used as reference data.
Timestamp: 2026-01-19 00:36:49

Description: Spatial map of global bias of V component of wind at 850 hPa from 2400-01-16 to 2450-12-16 for the EC-EARTH4 model, experiment JK01, with ERA5 from 2001-01-01 to 2024-12-31 used as reference data.
Timestamp: 2026-01-19 00:36:29

Description: Spatial map of global bias of U component of wind at 200 hPa from 2400-01-16 to 2450-12-16 for the EC-EARTH4 model, experiment JK01, with ERA5 from 2001-01-01 to 2024-12-31 used as reference data.
Timestamp: 2026-01-19 00:32:51

Description: Spatial map of global bias of Specific humidity at 850 hPa from 2400-01-16 to 2450-12-16 for the EC-EARTH4 model, experiment JK01, with ERA5 from 2001-01-01 to 2024-12-31 used as reference data.
Timestamp: 2026-01-19 00:40:29
seasonal bias

Description: Seasonal bias map of U component of wind at 200 hPa for the EC-EARTH4 model, experiment JK01, using ERA5 as reference data. The bias is computed for each season over the period from 2400-01-16 to 2450-12-16 for the model and from 2001-01-01 to 2024-12-31 for the reference data.
Timestamp: 2026-01-19 00:32:57

Description: Seasonal bias map of Temperature at 850 hPa for the EC-EARTH4 model, experiment JK01, using ERA5 as reference data. The bias is computed for each season over the period from 2400-01-16 to 2450-12-16 for the model and from 2001-01-01 to 2024-12-31 for the reference data.
Timestamp: 2026-01-19 00:28:55

Description: Seasonal bias map of Temperature at 200 hPa for the EC-EARTH4 model, experiment JK01, using ERA5 as reference data. The bias is computed for each season over the period from 2400-01-16 to 2450-12-16 for the model and from 2001-01-01 to 2024-12-31 for the reference data.
Timestamp: 2026-01-19 00:29:00

Description: Seasonal bias map of V component of wind at 200 hPa for the EC-EARTH4 model, experiment JK01, using ERA5 as reference data. The bias is computed for each season over the period from 2400-01-16 to 2450-12-16 for the model and from 2001-01-01 to 2024-12-31 for the reference data.
Timestamp: 2026-01-19 00:36:57

Description: Seasonal bias map of Specific humidity at 200 hPa for the EC-EARTH4 model, experiment JK01, using ERA5 as reference data. The bias is computed for each season over the period from 2400-01-16 to 2450-12-16 for the model and from 2001-01-01 to 2024-12-31 for the reference data.
Timestamp: 2026-01-19 00:40:37

Description: Seasonal bias map of U component of wind at 850 hPa for the EC-EARTH4 model, experiment JK01, using ERA5 as reference data. The bias is computed for each season over the period from 2400-01-16 to 2450-12-16 for the model and from 2001-01-01 to 2024-12-31 for the reference data.
Timestamp: 2026-01-19 00:32:49

Description: Seasonal bias map of V component of wind at 850 hPa for the EC-EARTH4 model, experiment JK01, using ERA5 as reference data. The bias is computed for each season over the period from 2400-01-16 to 2450-12-16 for the model and from 2001-01-01 to 2024-12-31 for the reference data.
Timestamp: 2026-01-19 00:36:46

Description: Seasonal bias map of Specific humidity at 850 hPa for the EC-EARTH4 model, experiment JK01, using ERA5 as reference data. The bias is computed for each season over the period from 2400-01-16 to 2450-12-16 for the model and from 2001-01-01 to 2024-12-31 for the reference data.
Timestamp: 2026-01-19 00:40:33
Water cycle
timeseries

Description: Time series of Total precipitation rate [kg m-2 s-1] (tprate) for region Europe for ece4-tuning EC-EARTH4 JK01 with reference MSWEP v2.8 with standard deviation from 2001-01-01 to 2024-12-31. The shaded area represents 2 standard deviations.
Timestamp: 2026-01-19 00:39:25

Description: Time series of Total precipitation rate [kg m-2 s-1] (tprate) for region South Midlatitudes for ece4-tuning EC-EARTH4 JK01 with reference MSWEP v2.8 with standard deviation from 2001-01-01 to 2024-12-31. The shaded area represents 2 standard deviations.
Timestamp: 2026-01-19 00:35:26

Description: Time series of Total precipitation rate [kg m-2 s-1] (tprate) for region North Midlatitudes for ece4-tuning EC-EARTH4 JK01 with reference MSWEP v2.8 with standard deviation from 2001-01-01 to 2024-12-31. The shaded area represents 2 standard deviations.
Timestamp: 2026-01-19 00:32:18

Description: Time series of Total precipitation rate [kg m-2 s-1] (tprate) for ece4-tuning EC-EARTH4 JK01 with reference MSWEP v2.8 with standard deviation from 2001-01-01 to 2024-12-31. The shaded area represents 2 standard deviations.
Timestamp: 2026-01-19 00:29:06
seasonal cycle

Description: Seasonal cycle of Total precipitation rate [kg m-2 s-1] (tprate) for region South Midlatitudes for ece4-tuning EC-EARTH4 JK01 with reference MSWEP v2.8 with standard deviation from 2001-01-01 to 2024-12-31. The shaded area represents 2 standard deviations.
Timestamp: 2026-01-19 00:47:03

Description: Seasonal cycle of Total precipitation rate [kg m-2 s-1] (tprate) for region North Midlatitudes for ece4-tuning EC-EARTH4 JK01 with reference MSWEP v2.8 with standard deviation from 2001-01-01 to 2024-12-31. The shaded area represents 2 standard deviations.
Timestamp: 2026-01-19 00:44:48

Description: Seasonal cycle of Total precipitation rate [kg m-2 s-1] (tprate) for region Europe for ece4-tuning EC-EARTH4 JK01 with reference MSWEP v2.8 with standard deviation from 2001-01-01 to 2024-12-31. The shaded area represents 2 standard deviations.
Timestamp: 2026-01-19 00:49:22

Description: Seasonal cycle of Total precipitation rate [kg m-2 s-1] (tprate) for ece4-tuning EC-EARTH4 JK01 with reference MSWEP v2.8 with standard deviation from 2001-01-01 to 2024-12-31. The shaded area represents 2 standard deviations.
Timestamp: 2026-01-19 00:42:08
annual bias

Description: Spatial map of global bias of Total precipitation rate from 2400-01-16 to 2450-12-16 for the EC-EARTH4 model, experiment JK01, with MSWEP from 2001-01-01 to 2024-12-31 used as reference data.
Timestamp: 2026-01-19 00:51:49
seasonal bias

Description: Seasonal bias map of Total precipitation rate for the EC-EARTH4 model, experiment JK01, using MSWEP as reference data. The bias is computed for each season over the period from 2400-01-16 to 2450-12-16 for the model and from 2001-01-01 to 2024-12-31 for the reference data.
Timestamp: 2026-01-19 00:52:02
Teleconnections
NAO

Description: NAO correlation map (Correlation of Mean sea level pressure with index evaluated with Mean sea level pressure) EC-EARTH4 JK01 (DJF) compared to ERA5 era5. The contour lines are the model regression map and the filled contour map is the difference between the model and the reference correlation map.
Timestamp: 2026-01-19 00:01:09

Description: NAO regression map (msl) EC-EARTH4 JK01 (DJF) compared to ERA5 era5. The contour lines are the model regression map and the filled contour map is the difference between the model and the reference regression map.
Timestamp: 2026-01-19 00:01:09

Description: NAO index for EC-EARTH4 JK01 using reference data from ERA5 era5.
Timestamp: 2026-01-19 00:00:56
ENSO

Description: ENSO3.4 index for EC-EARTH4 JK01 using reference data from ERA5 era5.
Timestamp: 2026-01-19 01:10:27

Description: ENSO3.4 correlation map (Correlation of Sea surface temperature with index evaluated with Sea surface temperature) EC-EARTH4 JK01 compared to ERA5 era5. The contour lines are the model regression map and the filled contour map is the difference between the model and the reference correlation map.
Timestamp: 2026-01-19 01:10:58

Description: ENSO3.4 regression map (tos) EC-EARTH4 JK01 compared to ERA5 era5. The contour lines are the model regression map and the filled contour map is the difference between the model and the reference regression map.
Timestamp: 2026-01-19 01:10:58
Ocean 2D
annual bias

Description: Spatial map of global bias of Sea surface temperature from 2400-01-16 to 2450-12-16 for the EC-EARTH4 model, experiment JK01, with ESA-CCI-L4 from 2001-01-01 to 2024-12-31 used as reference data.
Timestamp: 2026-01-19 01:09:59
seasonal bias

Description: Seasonal bias map of Sea surface temperature for the EC-EARTH4 model, experiment JK01, using ESA-CCI-L4 as reference data. The bias is computed for each season over the period from 2400-01-16 to 2450-12-16 for the model and from 2001-01-01 to 2024-12-31 for the reference data.
Timestamp: 2026-01-19 01:10:05
Ocean 3D
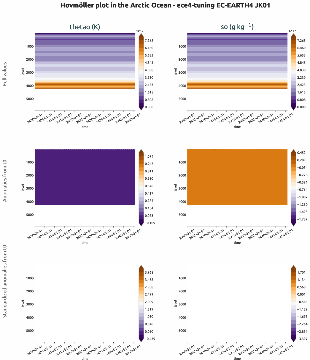
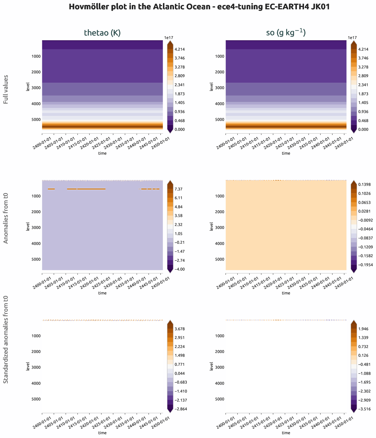
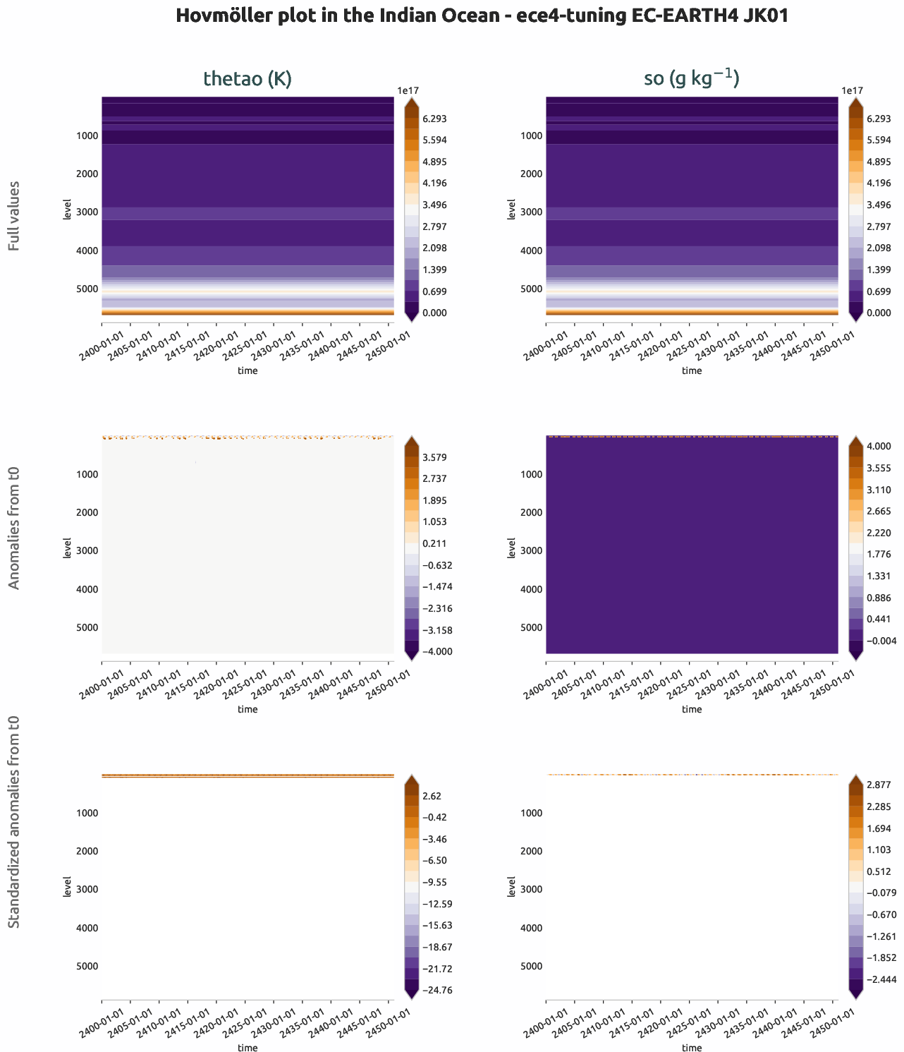
Hovmöller

Description: Hovmöller plot of spatially averaged Arctic Ocean region for experiment ece4-tuning EC-EARTH4 JK01
Timestamp: 2026-01-19 04:16:54

Description: Hovmöller plot of spatially averaged Pacific Ocean region for experiment ece4-tuning EC-EARTH4 JK01
Timestamp: 2026-01-17 20:41:01

Description: Hovmöller plot of spatially averaged Atlantic Ocean region for experiment ece4-tuning EC-EARTH4 JK01
Timestamp: 2026-01-19 03:01:58

Description: Hovmöller plot of spatially averaged Global Ocean region for experiment ece4-tuning EC-EARTH4 JK01
Timestamp: 2026-01-19 01:49:50

Description: Hovmöller plot of spatially averaged Southern Ocean region for experiment ece4-tuning EC-EARTH4 JK01
Timestamp: 2026-01-19 03:38:28

Description: Hovmöller plot of spatially averaged Indian Ocean region for experiment ece4-tuning EC-EARTH4 JK01
Timestamp: 2026-01-19 02:25:55
Sea Ice
time series

Description: Time series of the Sea ice extent integrated over Arctic and Antarctic regions. EC-EARTH4 JK01 monthly-ice from 2400-01-16 to 2450-12-16 is used as model data. OSI-SAF osi-saf-aqua nh-monthly and OSI-SAF osi-saf-aqua sh-monthly are used as reference data for the respective regions. Reference data std ranges from 2001-01-01 to 2024-12-31.
Timestamp: 2026-01-16 22:40:22

Description: Time series of the Sea ice volume integrated over Arctic and Antarctic regions. EC-EARTH4 JK01 monthly-ice from 2400-01-16 to 2450-12-16 is used as model data. PSC PIOMAS monthly and PSC GIOMAS monthly are used as reference data for the respective regions. Reference data std ranges from 2001-01-01 to 2024-12-31.
Timestamp: 2026-01-16 22:42:27
seasonal cycle

Description: Seasonal cycle of the Sea ice volume integrated over Arctic and Antarctic regions. EC-EARTH4 JK01 monthly-ice from 2400-01-16 to 2450-12-16 is used as model data. PSC PIOMAS monthly and PSC GIOMAS monthly are used as reference data for the respective regions. Reference data std ranges from 2001-01-01 to 2024-12-31.
Timestamp: 2026-01-16 22:43:08

Description: Seasonal cycle of the Sea ice extent integrated over Arctic and Antarctic regions. EC-EARTH4 JK01 monthly-ice from 2400-01-16 to 2450-12-16 is used as model data. OSI-SAF osi-saf-aqua nh-monthly and OSI-SAF osi-saf-aqua sh-monthly are used as reference data for the respective regions. Reference data std ranges from 2001-01-01 to 2024-12-31.
Timestamp: 2026-01-16 22:40:51
bias

Description: Spatial map and total bias of the sea ice fraction climatology in the Antarctic region. The model data is EC-EARTH4 with experiment JK01 spanning from 2400-01-16 to 2450-12-16. The reference dataset is OSI-SAF with experiment osi-saf-aqua spanning from 2001-01-01 to 2024-12-31. The red contour line represents the regional sea ice fraction equal to 0.2.
Timestamp: 2026-01-16 22:41:36

Description: Spatial map and total bias of the sea ice thickness climatology in the Antarctic region. The model data is EC-EARTH4 with experiment JK01 spanning from 2400-01-16 to 2450-12-16. The reference dataset is PSC with experiment GIOMAS spanning from 2001-01-01 to 2024-12-31.
Timestamp: 2026-01-16 22:43:55

Description: Spatial map and total bias of the sea ice fraction climatology in the Arctic region. The model data is EC-EARTH4 with experiment JK01 spanning from 2400-01-16 to 2450-12-16. The reference dataset is OSI-SAF with experiment osi-saf-aqua spanning from 2001-01-01 to 2024-12-31. The red contour line represents the regional sea ice fraction equal to 0.2.
Timestamp: 2026-01-16 22:41:25

Description: Spatial map and total bias of the sea ice thickness climatology in the Arctic region. The model data is EC-EARTH4 with experiment JK01 spanning from 2400-01-16 to 2450-12-16. The reference dataset is PSC with experiment PIOMAS spanning from 2001-01-01 to 2024-12-31.
Timestamp: 2026-01-16 22:43:46
Other diagnostics

Description: Boxplot for: EC-EARTH4 (exp: JK01) from 2400-01-16 to 2450-12-16, ERA5 (exp: era5) from 2001-01-01 to 2024-12-31, CERES (exp: ebaf-sfc421) from 2001-01-01 to 2024-12-31. Anomalies with respect to ERA5 mean value are shown. The dashed line represents the mean value, the solid line the median value, and the number indicates the absolute mean value.
Timestamp: 2026-01-17 00:00:30

Description: Boxplot for: EC-EARTH4 (exp: JK01) from 2400-01-16 to 2450-12-16, ERA5 (exp: era5) from 2001-01-01 to 2024-12-31, CERES (exp: ebaf-toa421) from 2001-01-01 to 2024-12-31. Anomalies with respect to ERA5 mean value are shown. The dashed line represents the mean value, the solid line the median value, and the number indicates the absolute mean value.
Timestamp: 2026-01-17 00:08:06