ece4-nord4 - EC-EARTH4 - a9zq - r1 - a9zq
Last updated: Fri Dec 12 10:25:08 CET 2025
EC-EARTH4 catalogue test run
Climate metrics
Gregory plot

Description: Gregory plot of EC-EARTH4 a9zq using as a reference BERKELEY-EARTH aqua-filled (2 m temperature) and CERES ebaf-toa421 (net TOA). The model data are from 1990-01-01 to 1990-01-01. The reference 2 m temperature data are from 2001-01-01 to 2024-12-01. The reference net TOA data are from 2001-01-01 to 2024-12-01.
Timestamp: 2025-12-12 10:21:20
performance indices

Description: Performance Indices normalized to the CMIP6 average for different regions and seasons for EC-EARTH4 a9zq from 1990-01-01 to 1990-12-31. Processed regions are Global (90°S-90°N), North Midlat (30°N-90°N), Tropical (30°S-30°N) and South Midlat (90°S-30°S).. Numbers < 1 imply better results than CMIP6 mean.
Timestamp: 2025-12-12 10:20:21
global biases

Description: Global mean biases normalized to observed interannual variability with respect to references for different regions and seasons for EC-EARTH4 a9zq from 1990-01-01 to 1990-12-31. Processed regions are Global (90°S-90°N), North Midlat (30°N-90°N), Tropical (30°S-30°N) and South Midlat (90°S-30°S).
Timestamp: 2025-12-12 10:19:58
Radiation
boxplot

Description: Boxplot for: EC-EARTH4 (exp: a9zq) from 1990-01-16 to 1990-12-16, ERA5 (exp: era5) from 1990-01-01 to 2020-12-31, CERES (exp: ebaf-toa421) from 2001-01-01 to 2024-12-31. Anomalies with respect to ERA5 mean value are shown. The dashed line represents the mean value, the solid line the median value, and the number indicates the absolute mean value.
Timestamp: 2025-12-12 10:23:54

Description: Boxplot for: EC-EARTH4 (exp: a9zq) from 1990-01-16 to 1990-12-16, ERA5 (exp: era5) from 1990-01-01 to 2020-12-31, CERES (exp: ebaf-sfc421) from 2000-01-01 to 2020-12-31. Anomalies with respect to ERA5 mean value are shown. The dashed line represents the mean value, the solid line the median value, and the number indicates the absolute mean value.
Timestamp: 2025-12-11 14:46:34
Atmosphere 2D
profiles

Description: Zonal profile of 2 metre temperature [K] over Tropics for ece4-nord4 EC-EARTH4 a9zq with ±2σ uncertainty bands computed over 1979-01-16 to 2024-12-16. with standard deviation bands
Timestamp: 2025-12-11 14:46:19

Description: Seasonal zonal profile of 2 metre temperature [K] over Tropics for ece4-nord4 EC-EARTH4 a9zq compared to obs BERKELEY-EARTH aqua-filled with ±2σ uncertainty bands.
Timestamp: 2025-12-11 14:46:21

Description: Seasonal zonal profile of 2 metre temperature [K] for ece4-nord4 EC-EARTH4 a9zq compared to obs BERKELEY-EARTH aqua-filled with ±2σ uncertainty bands.
Timestamp: 2025-12-11 14:45:24

Description: Zonal profile of 2 metre temperature [K] for ece4-nord4 EC-EARTH4 a9zq with ±2σ uncertainty bands computed over 1979-01-16 to 2024-12-16. with standard deviation bands
Timestamp: 2025-12-11 14:45:22
Water cycle
profiles

Description: Seasonal zonal profile of Total precipitation rate [kg m**-2 s**-1] for ece4-nord4 EC-EARTH4 a9zq compared to obs MSWEP v2.8 with ±2σ uncertainty bands.
Timestamp: 2025-12-11 15:19:51

Description: Zonal profile of Total precipitation rate [kg m**-2 s**-1] for ece4-nord4 EC-EARTH4 a9zq with ±2σ uncertainty bands computed over 1979-01-16 to 2024-12-16. with standard deviation bands
Timestamp: 2025-12-11 15:19:42

Description: Seasonal zonal profile of Total precipitation rate [kg m**-2 s**-1] over Tropics for ece4-nord4 EC-EARTH4 a9zq compared to obs MSWEP v2.8 with ±2σ uncertainty bands.
Timestamp: 2025-12-11 15:38:05

Description: Zonal profile of Total precipitation rate [kg m**-2 s**-1] over Tropics for ece4-nord4 EC-EARTH4 a9zq with ±2σ uncertainty bands computed over 1979-01-16 to 2024-12-16. with standard deviation bands
Timestamp: 2025-12-11 15:38:04
Ocean 3D
time series

Description: Timeseries of spatially averaged Arctic Ocean region for experiment ece4-nord4 EC-EARTH4 a9zq
Timestamp: 2025-12-12 10:20:07

Description: Timeseries of spatially averaged Southern Ocean region for experiment ece4-nord4 EC-EARTH4 a9zq
Timestamp: 2025-12-12 10:17:22

Description: Timeseries of spatially averaged Indian Ocean region for experiment ece4-nord4 EC-EARTH4 a9zq
Timestamp: 2025-12-12 10:11:56

Description: Timeseries of spatially averaged Atlantic Ocean region for experiment ece4-nord4 EC-EARTH4 a9zq
Timestamp: 2025-12-12 10:14:44

Description: Timeseries of spatially averaged Global Ocean region for experiment ece4-nord4 EC-EARTH4 a9zq
Timestamp: 2025-12-12 10:09:09

Description: Timeseries of spatially averaged Pacific Ocean region for experiment ece4-nord4 EC-EARTH4 a9zq
Timestamp: 2025-12-12 10:22:55
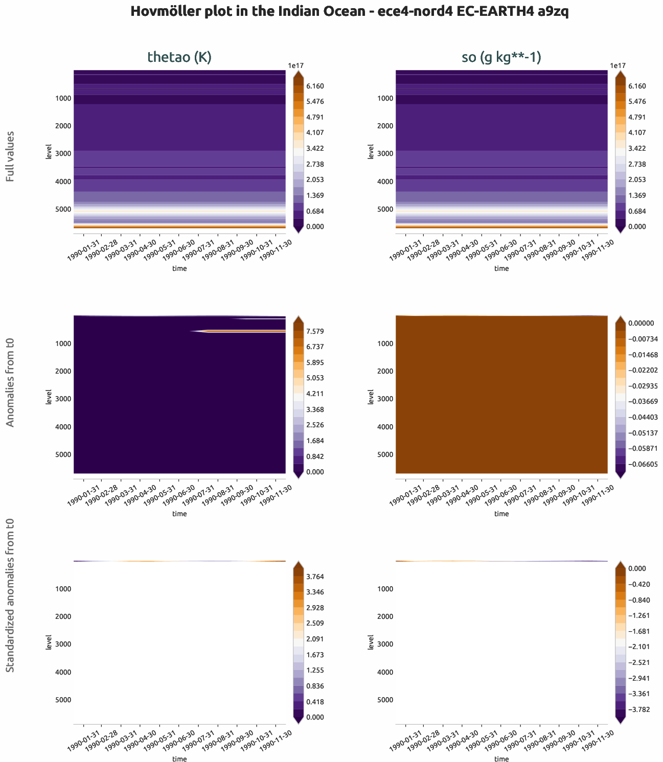
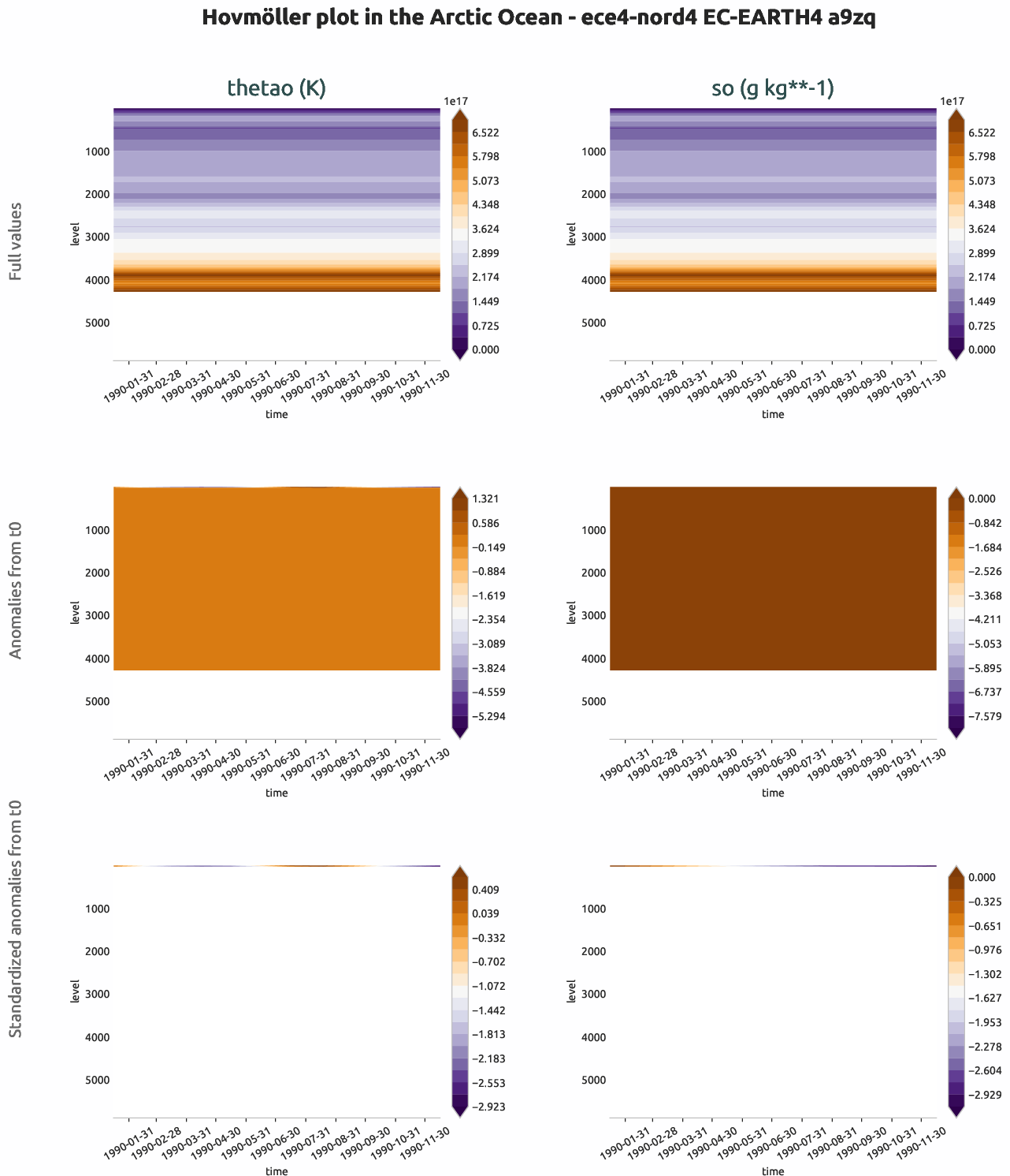
Hovmöller

Description: Hovmöller plot of spatially averaged Indian Ocean region for experiment ece4-nord4 EC-EARTH4 a9zq
Timestamp: 2025-12-12 10:11:52

Description: Hovmöller plot of spatially averaged Pacific Ocean region for experiment ece4-nord4 EC-EARTH4 a9zq
Timestamp: 2025-12-12 10:22:52

Description: Hovmöller plot of spatially averaged Arctic Ocean region for experiment ece4-nord4 EC-EARTH4 a9zq
Timestamp: 2025-12-12 10:20:04

Description: Hovmöller plot of spatially averaged Global Ocean region for experiment ece4-nord4 EC-EARTH4 a9zq
Timestamp: 2025-12-12 10:09:06

Description: Hovmöller plot of spatially averaged Southern Ocean region for experiment ece4-nord4 EC-EARTH4 a9zq
Timestamp: 2025-12-12 10:17:19

Description: Hovmöller plot of spatially averaged Atlantic Ocean region for experiment ece4-nord4 EC-EARTH4 a9zq
Timestamp: 2025-12-12 10:14:40
stratification

Description: Stratification plot of spatially averaged Weddell Sea region, JJA climatology for the ece4-nord4 EC-EARTH4 a9zq experiment with the reference data from obs EN4 v4.2.2
Timestamp: 2025-12-11 16:21:31

Description: Stratification plot of spatially averaged Labrador Sea region, DJF climatology for the ece4-nord4 EC-EARTH4 a9zq experiment with the reference data from obs EN4 v4.2.2
Timestamp: 2025-12-11 15:50:48

Description: Stratification plot of spatially averaged Irminger Sea region, JJA climatology for the ece4-nord4 EC-EARTH4 a9zq experiment with the reference data from obs EN4 v4.2.2
Timestamp: 2025-12-11 16:04:26
mixed layer depth

Description: Mixed layer depth plot of spatially averaged Labrador Sea region, DJF climatology for the ece4-nord4 EC-EARTH4 a9zq experiment with the reference data from obs EN4 v4.2.2
Timestamp: 2025-12-11 15:57:32

Description: Mixed layer depth plot of spatially averaged Irminger Sea region, JJA climatology for the ece4-nord4 EC-EARTH4 a9zq experiment with the reference data from obs EN4 v4.2.2
Timestamp: 2025-12-11 16:14:39

Description: Mixed layer depth plot of spatially averaged Weddell Sea region, JJA climatology for the ece4-nord4 EC-EARTH4 a9zq experiment with the reference data from obs EN4 v4.2.2
Timestamp: 2025-12-11 16:28:18
Sea Ice
time series

Description: Time series of the Sea ice volume integrated over Arctic and Antarctic regions. EC-EARTH4 a9zq monthly-ice from 1990-01-16 to 1990-12-16 is used as model data. PSC PIOMAS monthly and PSC GIOMAS monthly are used as reference data for the respective regions. Reference data std ranges from 1991-01-01 to 2024-01-01.
Timestamp: 2025-12-11 15:40:27

Description: Time series of the Sea ice extent integrated over Arctic and Antarctic regions. EC-EARTH4 a9zq monthly-ice from 1990-01-16 to 1990-12-16 is used as model data. OSI-SAF osi-saf-aqua nh-monthly and OSI-SAF osi-saf-aqua sh-monthly are used as reference data for the respective regions. Reference data std ranges from 1991-01-01 to 2024-01-01.
Timestamp: 2025-12-11 15:39:56
seasonal cycle

Description: Seasonal cycle of the Sea ice extent integrated over Arctic and Antarctic regions. EC-EARTH4 a9zq monthly-ice from 1990-01-16 to 1990-12-16 is used as model data. OSI-SAF osi-saf-aqua nh-monthly and OSI-SAF osi-saf-aqua sh-monthly are used as reference data for the respective regions. Reference data std ranges from 1991-01-01 to 2024-01-01.
Timestamp: 2025-12-11 15:41:03

Description: Seasonal cycle of the Sea ice volume integrated over Arctic and Antarctic regions. EC-EARTH4 a9zq monthly-ice from 1990-01-16 to 1990-12-16 is used as model data. PSC PIOMAS monthly and PSC GIOMAS monthly are used as reference data for the respective regions. Reference data std ranges from 1991-01-01 to 2024-01-01.
Timestamp: 2025-12-11 15:41:48
bias

Description: Spatial map and total bias of the sea ice fraction climatology in the Antarctic region. The model data is EC-EARTH4 with experiment a9zq spanning from 1990-01-16 to 1990-12-16. The reference dataset is OSI-SAF with experiment osi-saf-aqua spanning from 1991-01-01 to 2024-12-31. The red contour line represents the regional sea ice fraction equal to 0.2.
Timestamp: 2025-12-11 15:42:33

Description: Spatial map and total bias of the sea ice thickness climatology in the Arctic region. The model data is EC-EARTH4 with experiment a9zq spanning from 1990-01-16 to 1990-12-16. The reference dataset is PSC with experiment PIOMAS spanning from 1991-01-01 to 2024-12-31.
Timestamp: 2025-12-11 15:43:00

Description: Spatial map and total bias of the sea ice fraction climatology in the Arctic region. The model data is EC-EARTH4 with experiment a9zq spanning from 1990-01-16 to 1990-12-16. The reference dataset is OSI-SAF with experiment osi-saf-aqua spanning from 1991-01-01 to 2024-12-31. The red contour line represents the regional sea ice fraction equal to 0.2.
Timestamp: 2025-12-11 15:42:16

Description: Spatial map and total bias of the sea ice thickness climatology in the Antarctic region. The model data is EC-EARTH4 with experiment a9zq spanning from 1990-01-16 to 1990-12-16. The reference dataset is PSC with experiment GIOMAS spanning from 1991-01-01 to 2024-12-31.
Timestamp: 2025-12-11 15:43:13